top of page
Search

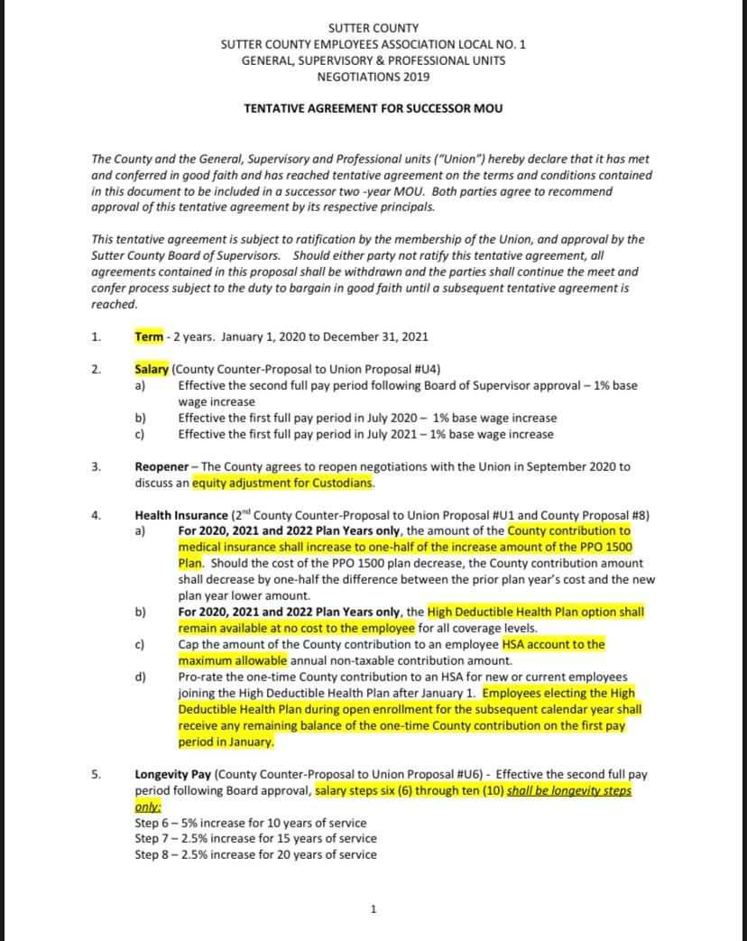
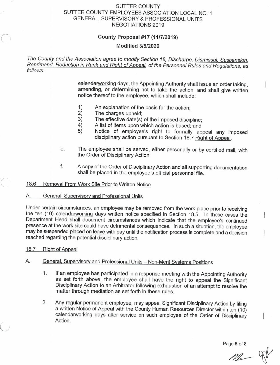
Full Tenative Agreement Information

  • hdizzy42
  • Mar 26, 2020
  • 1 min read

Including the already published TA summary. The County proposals and new changes to policies and the union proposals.


































































 
 
 

Recent Posts

See All
Sutter County Negotiations Team

We have accepted the nominations for our negotiation team and will be meeting regularly to review the most pressing issues brought forth...

 
 
 

Comments


Contact Us

Tel: (530) 674-0185

webmaster.myscea@gmail.com

  • Facebook Social Icon
  • AFSCME LOGO

© 2022 by Sutter County Employees Association

Success! Message received.

bottom of page